HOME >> アミノ酸関連物質 >> N-アセチル-L-トリプトファン

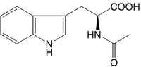
N-Acetyl-L-Tryptophan / N-アセチル-L-トリプトファン

CAS RN
1218-34-4
Chemical Formula
C13H14N2O3      
FW
246.27
1218-34-4
Solubility in water Colorless & clear (c=0.4)
Specific rotation [α]D20 +25.8°~+27.0°(c= 2, 1M-NaOH)
Loss on drying Not more than 0.3%
Residue on ignition (as sulfate) Not more than 0.1%
Chloride (Cl) Not more than 0.02%
Sulfate (SO4) Not more than 0.03%
Heavy metals (as Pb) Not more than 10ppm
Iron (Fe) Not more than 10ppm
Ammonium (NH4) Not more than 0.02%
Arsenic (As2O3) Not more than 1ppm
Assay 98.5%~101.0%



   

バナースペース

お問い合わせ

WEBからのお問い合わせは、
お問い合わせフォームをご利用ください。
お電話でのお問い合わせは、
事業所一覧をご覧ください。